分享成功

[滁州城事] 均价为7901元/㎡!滁州一楼盘备案价出炉!

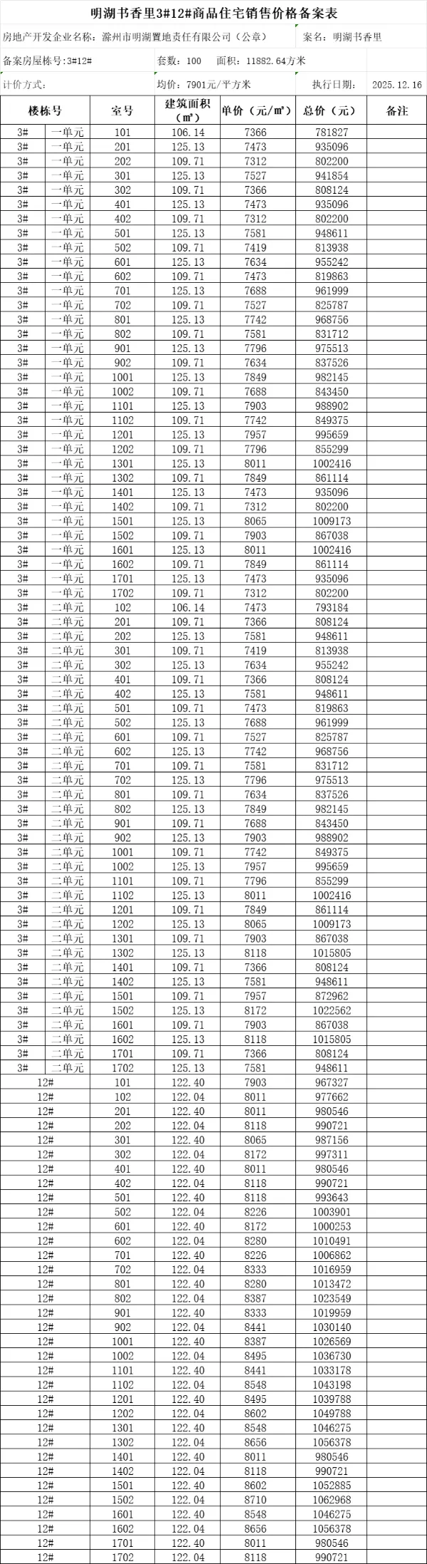
明湖书香里3#12#的备案价格出炉,整体备案均价7901元/㎡,共计100房源,建面106㎡、109㎡、122㎡、125㎡。

 

来源:滁州市自然资源和规划局

热门评论
  • 画个圈圈爱上你 LV9 通判
    2楼
    你觉得如何又能怎么样,一万一平买的起觉得值,三千一平买不起的还是买不起,
    12-20 09:27 · 安徽
    2 回复
  • 回忆过往 LV5 常在
    3楼
    真不错,不过还是有很多买不起房子的人
    12-20 09:55 归属地未知
    1 回复
  • 再也回不到从前 LV12 按察使
    4楼
    那边不超过六千      
    12-20 11:01 归属地未知
    回复
打开E滁州 APP,查看全部7条评论
你的热评
游客
发表评论
最热E友圈
  • 没有人能空手走出来

    淡若闲云

    10
  • 天天签到,领取专属福利

    H雨何

    10
  • 大家好!周末愉快🌹

    青龙珏羊

    10
  • 周六,早安!

    疾风影之舞

    10
  • 分享了图片

    在爱的里重生

    10
  • 大家早上好!

    浅醉一生

    10
  • 天天签到,领取专属福利

    dxy456

    9
  • 希望诸位,别不知好歹。。。

    第二梦,呆

    9
  • 大家周末愉快!

    浅醉一生

    9
  • 早安呀~距离元旦还有10天

    迎迎小熊

    9
热点推荐

安装应用

免费下载E滁州
这是app专享内容啦!
你可以下载app,更多精彩任你挑!
绑定手机才能继续哦!
绑定手机账号更安全哦!
绑定手机才能继续哦!
绑定手机账号更安全哦!